44+ Konsep Baru Tabel Berat Besi SNI
Februari 08, 2021
Tabel Berat Besi Beton SNI, Tabel Berat Besi Beton PDF, Tabel Berat besi Ulir, Tabel berat besi beton per batang, Tabel besi beton SNI, SNI besi beton, Cara menghitung berat besi beton ulir, Tabel berat jenis besi, Harga dan berat Besi Beton, Tabel Berat Besi XLS, Berat jenis besi beton, Download Tabel Besi Lengkap,
44+ Konsep Baru Tabel Berat Besi SNI - Semakin berkembangnya trend style yang populer saat ini dan melahirkan bermacam-macam hanger baju tentu kamu akan sedikit merasa kebingungan model mana yang pantas untuk menunjang penampilan. Tentu kamu mengharapkan penampilan yang paling maksimal untuk menghadiri berbagai acara baik itu acara formal semi resmi maupun momen santai. Sudah menjadi rahasia umum andaikata Tabel Berat Besi SNI merupakan salah satu model pakaian yang menjadi andalan untuk tetap tampil mempesona.
Apakah anda tertarik dengan hanger baju?, dengan gambar dibawah ini, semoga bisa menjadi pilihan gaya fashion anda.Penasaran seperti apa hanger baju yang akan jadi buruan para fashionista? langsung saja simak 44+ Konsep Baru Tabel Berat Besi SNI .

Material besi baja terlengkap dan termurah . Sumber Gambar : www.slideshare.net
Standar Nasional Indonesia Kementerian Pekerjaan Umum
Ukuran dan Tabel Berat Besi Beton SNI Tabel Berat Besi Beton Polos SNI akan sangat bermanfaat terutama bagi Anda yang sedang atau akan membangun suatu bangunan dan memerlukan estimasi harga yang akurat untuk menekan biaya yang tidak perlu Anda perlu mengetahui tabel berat besi beton SNI membantu konversi harga per kg menjadi harga per batang dan tentunya mengetahui standard

Blog File Proyek Menghitung Berat Besi Beton . Sumber Gambar : file2proyek.blogspot.com
Standar Nasional Indonesia Universitas Negeri Yogyakarta
Kebanyakan dari kita lebih memilih untuk mencari tahu ukuran berat besi dengan melihat tabel yang sudah ada Alasan utamanya tentu adalah lebih praktis lebih cepat dan lebih tepat Namun ingat daftar tabel yang menjadi referensi Anda harus sesuai dengan SNI supaya dapat dipertanggungjawabkan Tabel 1 Daftar Berat Besi Polos

Cat Harga Terjangkau Dengan Kualitas Memuaskan Besi Beton . Sumber Gambar : jual-cat.blogspot.com
Concept 25 Tabel Profil Baja Kanal C Sni Minimalist Home . Sumber Gambar : homesetupideas.blogspot.com
TABEL BERAT PIPA KOTAK BESI PT Abadi Metal Utama . Sumber Gambar : abadimetalutama.com

Pipa Air Galvanis Galvanized Pipes BESI WF BESI . Sumber Gambar : jual-besi-wf.blogspot.com

Besi Tulangan Parameter Lauw Tjun Nji . Sumber Gambar : lauwtjunnji.weebly.com

besi beton jakarta telp 081288711562 02158909935 UKURAN . Sumber Gambar : besibetonjakarta.blogspot.com

harga baja ringan . Sumber Gambar : architecturebanten.blogspot.com

CARA MUDAH HITUNG KEBUTUHAN BESI BETON ANDA Klopmart . Sumber Gambar : www.klopmart.com

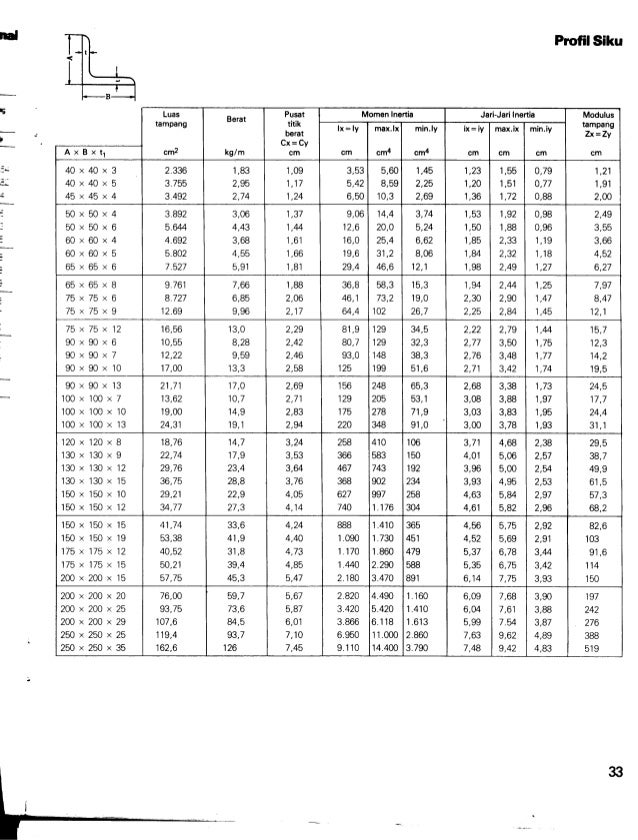
Tabel Profil Konstruksi Baja . Sumber Gambar : www.slideshare.net

Spesifikasi Besi Tulangan sesuai SNI vastu id . Sumber Gambar : vastu.id
Besi Pipa Plat Stainless steel PT MEGA JAYASTEEL . Sumber Gambar : pusatmaterialbesibaja.blogspot.com
Be Safe Out There MENGHITUNG KEBUTUHAN ENERGI KALORI . Sumber Gambar : kerja-safety.blogspot.com

Gambar Baja Ringan . Sumber Gambar : architecturebanten.blogspot.com
Besi Pipa Plat Stainless steel PT MEGA JAYASTEEL . Sumber Gambar : pusatmaterialbesibaja.blogspot.com

Baja Ringan Reng Dunia Baja Komsen Toko Besi Komsen . Sumber Gambar : www.duniabajakomsen.com

Tips Memilih Warna Cat Dinding Ruang Tamu Bengkel SMJ . Sumber Gambar : bengkelsmj.blogspot.com

Mengenal Profil Aluminum Untuk Berbagai Jenis Konstruksi . Sumber Gambar : bengkelsmj.blogspot.com

SEMEN MERAH PUTIH . Sumber Gambar : architecturebanten.blogspot.com